阿牛巴流量计量表
阿牛巴流量计量表型号生产报价厂家,本流量仪产品型号属于气体流量计分类,更多的阿牛巴、流量控制仪直销价格报价欢迎您来电咨询,下面是阿牛巴流量计量表产品资料详情。
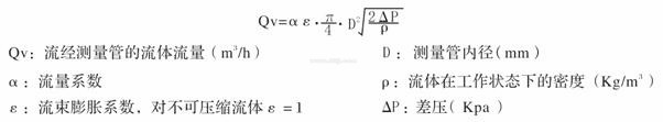
阿牛巴流量计(又称笛形均速管流量计和托巴管流量计)属于差压式流量计。阿牛巴流量计是采用皮保管丈量原理丈量挡体上游的动压力与下游的静压力之间形成的压差,从而达到丈量流量的目的。丈量管道直径在DN20到DN12000之间。阿牛巴流量计首要用于工业过程中各种动力如液体、燃料气、蒸气和气体的丈量,具有较高的稳定性和重复性。设计理论符合伯努力方程原理,并可用JJG/640-90规程进行检验。

阿牛巴流量计的用途及特点
10、长期精度不受磨损的影响
阿牛巴流量计型谱
|
型谱 |
说明 |
|||||||
|
SKANB- |
节省设备 |
|||||||
|
装置方法 |
M |
螺纹 |
||||||
|
F |
法兰 |
|||||||
|
本体原料 |
1- |
碳钢 |
||||||
|
2- |
不锈钢 |
|||||||
|
3- |
耐高温原料 |
|||||||
|
丈量管径 |
50- |
|
DN50 |
|||||
|
65- |
|
DN65 |
||||||
|
80- |
|
DN80 |
||||||
|
100- |
|
DN100 |
||||||
|
125- |
|
DN125 |
||||||
|
150- |
|
DN150 |
||||||
|
200- |
|
DN200 |
||||||
|
225- |
|
DN225 |
||||||
|
250- |
|
DN250 |
||||||
|
300- |
|
DN300 |
||||||
|
350- |
|
DN350 |
||||||
|
400- |
|
DN400 |
||||||
|
450- |
|
DN450 |
||||||
|
500- |
|
DN500 |
||||||
|
600- |
|
DN600 |
||||||
|
800- |
|
DN800 |
||||||
|
900- |
|
DN900 |
||||||
|
1000- |
|
DN1000 |
||||||
|
工作压力 |
1 |
|
0.6 MPa |
|||||
|
2 |
|
1.6 MPa |
||||||
|
3 |
|
2.5 MPa |
||||||
|
4 |
|
4.0 MPa |
||||||
|
5 |
|
6.4 MPa |
||||||
|
6 |
|
10.0 MPa |
||||||
|
工作温度 |
1 |
120℃以下 |
||||||
|
2 |
220℃以下 |
|||||||
|
3 |
|
|||||||
|
介质类型 |
LC |
|
干净液体 |
|||||
|
GC |
|
清洁气体 |
||||||
|
LT |
|
易脏液体 |
||||||
|
GT |
|
易脏气体 |
||||||
|
VM |
饱和蒸汽 |
|||||||
|
VH |
|
过热蒸汽 |
||||||
|
附件 |
00 |
不带附件 |
||||||
|
01 |
仅带差压变送器 |
|||||||
|
10 |
仅带流量积算仪 |
|||||||
|
11 |
带差压变送器和流量积算仪 |
|||||||



|
序号
|
上游侧部分阻力件方法
|
上游侧
|
下
游
侧
|
||
|
无整流器
|
有整流器
|
||||
|
与检测杆在同一平面内
|
与检测杆不在同一平面内
|
||||
|
1
|
有一个90°弯头或三通
|
7D
|
9D
|
6D
|
3D
|
|
2
|
在同一平面内有两个90°弯头 * *
|
9D
|
14D
|
8D
|
3D
|
|
3
|
在不同一平面内有两个90°弯头 * *
|
19D
|
24D
|
9D
|
4D
|
|
4
|
管道直径改变(收或扩)
|
8D
|
8D
|
8D
|
3D
|
|
5
|
部分开启的闸阀、球阀或其它节省阀
|
24D
|
24D
|
9D
|
4D
|

以上就是阿牛巴流量计 产品全部内容,欢迎您来电咨询阿牛巴流量仪 的选型、报价。
本文地址:http://m.ysia.cn/pro/qt/105.html 转载请勿删除![阿牛巴流量计量表]










皖公网安备 34118102000583号